轴上MTF和分辨率有何直接关系?轴上MTF与分辨率的直接关系探析
在光学成像系统的设计与评估中,调制传递函数(ModulationTransferFunction,MTF)被广泛视为衡量成像质量的核心指标。其中,轴上MTF(On-axisMTF)特指光学系统对位于光轴中心视场目标的对比度传递能力,其与分辨率之间存在紧密而本质的联系。本文旨在从理论与工程应用两个层面,系统阐述二者之间的直接关系。

一、分辨率的本质与MTF的物理内涵
传统意义上的“分辨率”通常指光学系统能够分辨的最小细节,常以线对每毫米(lp/mm)为单位表示。然而,这一概念本质上是对系统高频信息传递能力的简化描述。相比之下,MTF提供了一种连续、定量的表征方式:它描述了系统在不同空间频率下对输入正弦光栅对比度的保留程度,取值范围为0至1。当MTF值趋近于0时,系统已无法有效传递该频率下的图像信息。
因此,分辨率可视为MTF曲线在高频端趋于不可用阈值时所对应的空间频率。例如,若某镜头的轴上MTF在50lp/mm处降至0.1,则其有效分辨率通常被认定为约50lp/mm。由此可见,分辨率并非独立参数,而是MTF性能在极限条件下的具体体现。
二、轴上MTF决定实际成像的清晰度上限
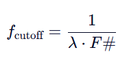
轴上区域作为光学系统设计的优化重点,其MTF性能通常优于视场边缘。高质量镜头在轴上往往展现出接近衍射极限的MTF曲线。根据衍射理论,理想无像差系统的截止频率为:

其中,λ为工作波长,F#为光圈数。此频率代表理论上可传递的最高空间频率。然而,实际系统的轴上MTF受残余像差(如球差、色差)影响,通常显著低于该极限。轴上MTF越接近衍射极限,系统所能实现的有效分辨率越高,成像锐度亦越佳。
值得注意的是,两个具有相同极限分辨率的镜头,其实际成像质量可能大相径庭。例如,在30lp/mm处,若镜头A的MTF为0.6而镜头B仅为0.3,则前者在中高频细节表现上明显更优。这说明,仅依赖极限分辨率数值不足以全面评价成像性能,必须结合完整的轴上MTF曲线进行判断。
三、工程实践中分辨率的MTF定义标准
在不同应用场景中,“可接受分辨率”的判定标准各异,通常依据特定MTF阈值确定:
人眼视觉感知(如摄影、显示):常以MTF≥0.3作为空间频率可用性的参考;
机器视觉与精密检测:要求更高对比度保留,多采用MTF≥0.5甚至更高作为有效分辨率判据;
理论分析:以MTF→0对应的频率作为衍射截止频率。
由此可见,分辨率并非绝对数值,而是依赖于MTF阈值设定的相对指标。轴上MTF曲线的形状与高度,直接决定了系统在各类应用中的实际分辨能力。
四、结语
综上所述,轴上MTF与分辨率之间并非并列关系,而是包含与决定的关系:分辨率是轴上MTF在高频极限下的外在表现,而MTF则完整刻画了从低频到高频的全频段成像性能。在光学系统设计、镜头选型及成像质量评估中,应以轴上MTF为核心依据,辅以合理的分辨率阈值定义,方能科学、全面地反映系统的实际成像能力。
未来,随着高分辨率传感器与计算成像技术的发展,对轴上MTF的精细化建模与测量将愈发重要,为实现“看得更清、辨得更细”的成像目标提供坚实基础。
-
瓦级长波红外飞秒激光与牙釉质共振烧蚀的突破性研究
长波红外飞秒激光因其覆盖7-14微米“指纹波段”,能够精准匹配分子弯曲与伸缩共振吸收线,在分子高光谱成像、强场光物质相互作用及微创组织消融等领域具有不可替代的应用潜力。近年来,高功率长波红外飞秒激光器的功率逐步从毫瓦级提升至数百毫瓦级,但瓦级水平、且可匹配生物组织关键共振峰的光源尚未实现,极大限制了其在先进微创医疗等领域的应用拓展。针对这一技术瓶颈,四川大学梁厚昆教授团队开展了系统性研究,成功实现瓦级宽带可调谐长波红外飞秒激光输出,并完成牙釉质共振烧蚀的概念验证,相关成果发表于国际权威期刊《Laser&PhotonicsReviews》。
2026-04-17
-
EUV极紫外光刻物镜波像差绝对式检测技术及应用分析
极紫外光刻(EUV)技术是支撑7nm及以下先进半导体制程的核心工艺,光刻物镜作为光刻机的核心光学组件,其光学性能直接决定光刻成像分辨率与工艺稳定性。波像差作为表征光学系统成像质量的关键指标,实现对EUV光刻物镜波像差的高精度、绝对式检测,是高端光学系统研制、装调校正及质量管控的核心技术环节,对推动光刻装备技术迭代具有重要支撑意义。
2026-04-17
-
有限距光管在VR镜头逆光路MTF测试中的应用与技术解析
在VR光学成像系统的性能评价体系中,光学传递函数(MTF)作为衡量镜头空间频率响应、成像清晰度与细节还原能力的核心指标,其测试精度直接决定镜头品质判定、装调校正与量产质控的可靠性。针对VR镜头特有的虚像成像工作模式,行业普遍采用逆光路测试方案,依托IMHR系列传函仪MTF测量仪测试机台完成性能表征。在此测试架构下,有限距光管作为模拟目标虚像距(VID)的核心光学组件,是保障测试环境与镜头实际工作工况高度匹配的关键设备。本文结合VR光学测试逻辑,对有限距光管的工作原理、结构特性及实操应用进行系统阐述。
2026-04-17
-
光与物质相互作用中吸收与散射机理辨析及应用
光谱分析技术是表征物质微观结构、化学组成及物理化学性质的核心手段,其根本原理建立在光与物质的相互作用之上。吸收与散射作为两类最基础、最具代表性的作用形式,分别支撑了紫外-可见光谱、红外光谱、拉曼光谱等主流检测方法。系统厘清二者的物理本质、行为特征及应用边界,对光谱技术的合理选用、实验设计及数据解析具有重要理论与工程价值。
2026-04-16
-
跨尺度光热超构材料研究进展:红外光谱精准调控与多领域应用展望
红外光谱作为能源、国防、遥感、制冷等领域的核心研究载体,在0.78~30μm波段内具备广泛的工程应用价值。传统红外功能材料受自身本征物性限制,光学特性与热学属性耦合紧密,难以实现红外光谱的独立、精准调控,成为制约相关技术升级的关键瓶颈。近年来,跨尺度光热超构材料凭借多结构尺度协同与多物理场耦合设计,为红外光谱裁剪难题提供了全新技术路径,相关研究成果持续推动红外功能器件向高效化、集成化、实用化方向发展。
2026-04-16
